发布时间:2025-11-23

图文摘要

成果简介
近日,天津大学环境科学与工程学院童银栋课题组在Water Research上发表了题为“Machine learning reveals global drivers of dissolved nitrogen dynamics in aquatic ecosystems: Implications for N₂O emissions and regional management”的研究论文(DOI:10.1016/j.watres.2025.124450),探究了全球尺度下水生生态系统中溶解氮(溶解有机氮DON、溶解无机氮DIN)动态变化的驱动机制及其对氧化亚氮(N₂O)排放的影响,为区域氮污染管控提供科学依据。
成果详情
本研究聚焦全球水生生态系统中DON与DIN的动态变化,旨在厘清其浓度水平、空间分布、驱动机制及生态风险。研究团队整合全球703个湖泊和1061条河流的1764组实测数据,结合气候、水文、土地利用及人类活动等变量,创新性采用随机森林(RF)机器学习模型,突破传统区域研究局限,实现了溶解氮浓度的全球预测与驱动因子量化。
结果显示,亚洲和北美洲水域氮浓度显著高于其他区域,亚洲湖泊DIN浓度更是其他区域的10倍,且驱动机制存在区域差异:亚洲受温度、降水等气候因子及农业活动调控,北美等发达区域则受GDP和土地利用模式主导。同时,研究证实DIN/DON比值对N₂O排放潜力的表征能力优于单一氮形态,为温室气体评估提供关键指标。基于此,研究提出区域差异化氮污染管控策略,为全球水生生态系统保护和可持续发展提供科学支撑,但非洲、南美洲等区域数据缺口可能导致模型预测存在偏差。
全球溶解氮浓度预测
预测结果显示,全球湖泊DON浓度范围为5.11-48.46 μM,河流为 3.38-58.89 μM;湖泊DIN浓度范围为0.47-174.07 μM,河流为0.42-100.11 μM。空间分布上,湖泊和河流的DON高浓度区均集中于美国中部、欧洲中部及中国沿海,DIN高浓度区则在印度、中国东海岸,其次是欧洲和美国南部。
经济发展水平维度,湖泊DON高浓度出现在中高收入和高收入区域,河流DON高浓度在低收入和高收入区域;湖泊和河流中收入区域DIN污染严重,高收入区域因严格环保政策和完善污水处理设施,DIN浓度降低。

Fig. 1. 河流和湖泊中DON和DIN浓度的全球格局。
四种主要土地利用类型(URB、PST、FOR和CRP)对氮浓度影响显著(P<0.05)。湖泊中CRP和FOR区域DON浓度最高,河流中CRP和URB区域DON浓度较高;无论湖泊还是河流,CRP和URB区域DIN浓度均最高,表明城市扩张和农业活动显著增加氮排放,加剧水体氮污染。
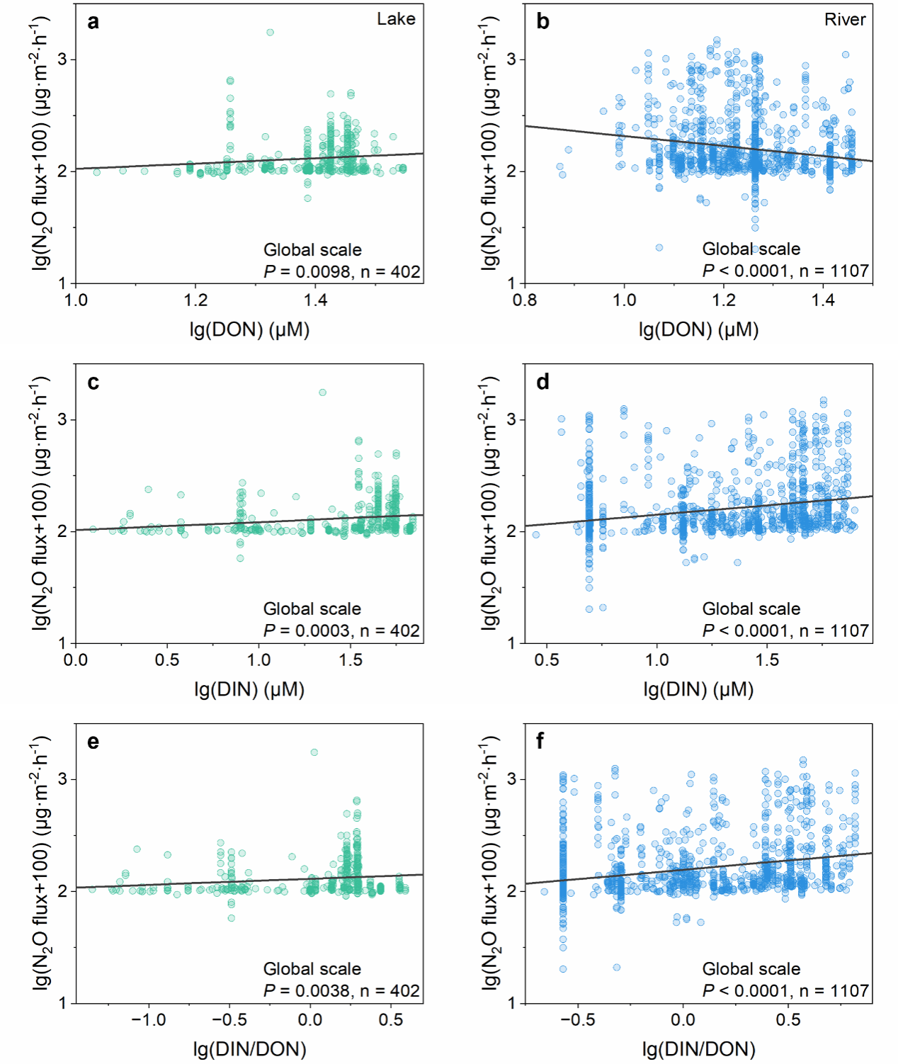
氮形态与N₂O通量关系

Fig. 2. DON、DIN和DIN/DON与N₂O排放的关系
线性回归分析结果显示,N₂O通量与DON、DIN、DIN/DON比值均显著相关,且河流中的相关性比湖泊更强(P<0.0001)。DIN/DON比值与N₂O的相关性强于单一DON或DIN,能更全面表征当前氮形态动态。
主要作者简介
第一作者:柴广硕,天津大学环境科学与工程学院23级硕士研究生。主要从事全球内陆水体氮循环与氧化亚氮排放估算。
共同通讯作者:崔洪洋,天津大学环境科学与工程学院副研究员,研究方向涵盖环境污染物暴露组学、毒理机制解析,新污染物非靶向鉴定及致疾病代谢靶点分析,揭示污染物通过蛋白修饰、代谢紊乱等途径对人体健康的潜在危害。在Environmental Science & Technology、Water Research等国际知名期刊发表学术论文40余篇。
共同通讯作者:崔晓宇,天津大学环境科学与工程学院副研究员,研究方向利用机器学习实现微塑料快速识别与定量,构建风险评估模型,为污染防控和生态安全提供依据。在Water Research、Science China Chemistry等国际知名期刊发表学术论文40余篇。
共同通讯作者:童银栋,天津大学环境科学与工程学院英才教授,博士生导师,国家优秀青年基金获得者。研究工作主要聚焦流域水生态健康保障科技创新。以第一或者通讯作者在Nature Geoscience (封面论文,高被引论文)、Proceedings of the National Academy of Sciences、Environmental Science & Technology(封面论文)、Water Research等期刊发表SCI论文150余篇。
(来源:童银栋 编辑:田淑洁)